近日,中国各地进入三伏天,开启了酷热的“高温炙烤模式”。北半球的许多国家也都出现了罕见的热浪天气,如英国发布有史以来的最高级别红色高温预警,并直接宣布进入国家紧急状态。席卷全球的高温热浪天气,逐渐印证了不可否认的事实:在气候变化的背景下,全球各地的极端温度正以前所未有的频率和强度出现,逼近甚至达到人类所能忍受的极限,带来严重的健康危害,并可能通过代际传递,威胁到下一代的健康。孕产妇由于在孕期生理状况发生改变而对外界环境非常敏感,更易受到极端温度的影响。

图1 文章刊发截图
孕期高温和低温暴露会引起孕妇宫缩增加、宫内羊水量减少及子宫血流速度减慢,从而增加早产的发生风险。同时,其影响机制可能因为早产的临床类型、分娩胎龄不同而存在差异。极端温度会通过氧化应激和炎症反应,引起内皮细胞功能受损,诱发妊娠期高血压疾病,造成治疗性早产;还会促使前列腺素分泌,促进宫缩和宫颈成熟,或使催产素受体增加,加重宫内感染和促进胎膜早破,从而诱发自发性早产。此外,胎儿的发育程度会随着孕龄增加而逐渐成熟,对外界环境的敏感性也随之变化。但迄今为止,人群研究仍缺乏孕期极端温度暴露对不同临床类型和不同分娩胎龄早产风险的深入探索。
孕期暴露于极端高温或极端低温是否会增加早产的发生风险,且高温或低温的效应是否存在差异?极端温度造成的早产风险是否会因为其临床类型的不同而存在明显差异,并且随着分娩胎龄的不同而变化?该风险又呈现什么样的区域分异规律,主要影响因素有哪些?
近日,环球体育-环球体育官网
黄存瑞教授团队及其合作者在《柳叶刀-区域健康(西太平洋)》(The Lancet Regional Health - Western Pacific)发表文章“孕期极端温度暴露对早产发生风险的影响:一项基于中国多中心的全人群队列研究”(Effects of extreme temperature on the risk of preterm birth in China: a population-based multi-center cohort study)。
研究发现,孕产妇在全孕期的极端高温暴露会显著增加早产的发生风险,而孕早期、孕晚期及分娩前一周的低温暴露均会增加早产风险,且全孕期的低温暴露风险最大。不同敏感窗口的极端温度暴露对于治疗性早产和自发性早产的发生风险存在差异,并且随着分娩胎龄的增加,该风险逐渐降低。地区社会经济水平和医疗卫生资源会修饰孕期极端温度暴露的早产风险。
文章基于中国8省市16个县区2014-2018年期间的21万例单胎活产个案数据,采用含时间依存协变量的Cox回归模型方法,评估了各孕期、全孕期、分娩前一周和分娩前四周的极端温度暴露对早产的影响,并探讨了不同临床类型早产和不同分娩胎龄早产的风险效应。此外,研究还分析了造成不同区域风险差异的影响,运用Meta回归从人口、经济、医疗资源和环境状况等多个方面揭示了修饰风险效应的区域水平因素。
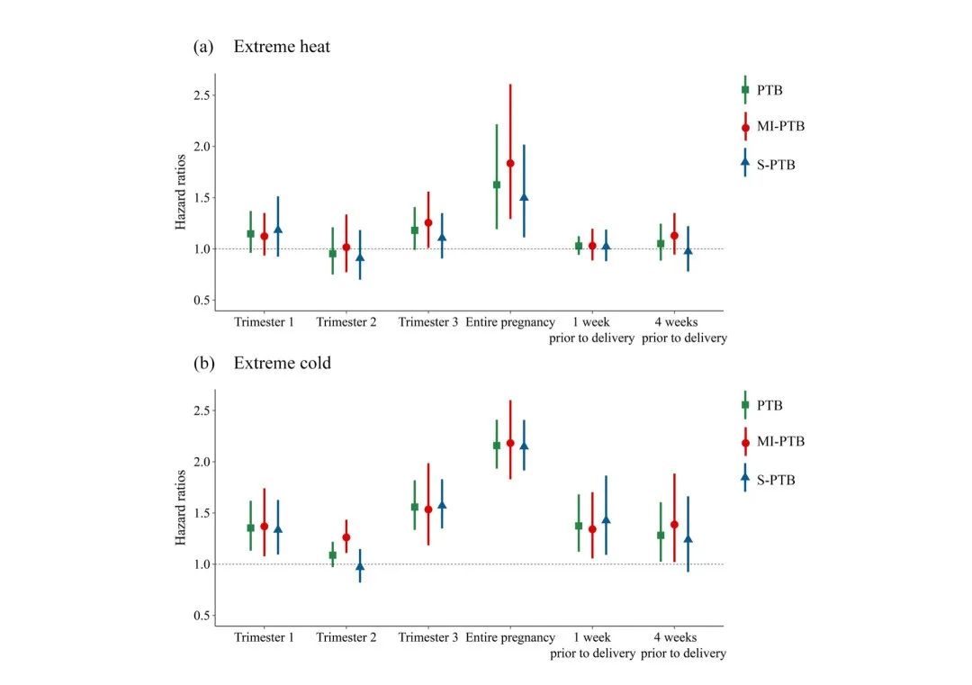
基于全孕期的高温暴露指标来评估温度对早产的影响更加明显,其对所有类型早产、治疗性早产和自发性早产的风险比分别为1.63, 1.84和1.50。基于孕早期、孕晚期、全孕期及分娩前一周的低温暴露指标研究发现,全孕期的风险比最大,低温暴露对所有类型早产、治疗性早产和自发性早产的风险比分别为2.16,2.18和2.15(图2)。

图2孕期各暴露窗口极端温度对不同类型早产的风险
注:PTB,早产;MI-PTB,治疗性早产;S-PTB,自发性早产。Pre1w,分娩前一周;Pre4w, 分娩前四周。
对于治疗性早产和自发性早产,高温和低温的影响均随着分娩胎龄的增加而减小,其中低温对分娩胎龄小于34周的早产具有较高的风险(图3)。这可能是由于胎龄较小,胎儿呼吸系统、循环系统等发育不成熟,使他们更易受到外界环境的影响。

图3全孕期极端温度暴露对各临床类型不同胎龄早产的风险
注:PTB,早产;MI-PTB,治疗性早产;S-PTB,自发性早产。
极端温度对治疗性早产和自发性早产的风险均存在明显的区域差异,地区人均GDP和每千人床位数较高的地区危险效应较低(图4)。人均GDP和每千人床位数是反应一个地区社会经济水平和医疗资源状况的重要指标,若居住在条件较差的地区,孕产妇接受孕产保健的次数以及能够承受的医疗费用可能更少,从而增加其在极端天气暴露下的脆弱性。气候变化背景下,这些发现对于保护脆弱人群健康,尤其是新生儿的健康具有重要意义。

图4不同地区极端温度对各临床类型早产的风险
注:HR,风险比;CI:置信区间。MI-PTB,治疗性早产;S-PTB,自发性早产。
Effects of extreme temperature on the risk of preterm birth in China: a population-based multi-center cohort study
发表链接:
//www.sciencedirect.com/science/article/pii/S2666606522001110
DOI: 10.1016/j.lanwpc.2022.100496